Homework #2¶
Due: Wednesday October 13th at 11:59pm
This homework is intended to serve as an introduction to understanding the process of lexical analysis. Specifically, we will look at requirements needed to build the scanner that makes up the lexical analysis phase.
Getting started¶
For each assignment, a Git repository will be created for you on GitHub. However, before that repository can be created for you, you need to have a GitHub account. If you do not yet have one, you can get an account here: https://github.com/join.
To actually get your private repository, you will need this invitation URL:
When you click on an invitation URL, you will have to complete the following steps:
You will need to select your CNetID from a list. This will allow us to know what student is associated with each GitHub account. This step is only done for the very first invitation you accept.
Note
If you are on the waiting list for this course you will not have a repository made for you until you are admitted into the course. I will post the starter code on Ed so you can work on the assignment until you are admitted into the course.
You must click “Accept this assignment” or your repository will not actually be created.
After accepting the assignment, Github will take a few minutes to create your repository. You should receive an email from Github when your repository is ready. Normally, it’s ready within seconds and you can just refresh the page.
- You now need to clone your repository (i.e., download it to your machine).
Make sure you’ve set up SSH access on your GitHub account.
For each repository, you will need to get the SSH URL of the repository. To get this URL, log into GitHub and navigate to your project repository (take into account that you will have a different repository per project). Then, click on the green “Code” button, and make sure the “SSH” tab is selected. Your repository URL should look something like this: git@github.com:mpcs51300-aut21/hw1-GITHUB-USERNAME.git.
If you do not know how to use
git clone
to clone your repository then follow this guide that Github provides: Cloning a Repository
If you run into any issues, or need us to make any manual adjustments to your registration, please let us know via Ed Discussion.
Transition Diagrams¶
You will need to draw transition diagrams for this homework assignment. You are free to use any application that makes it easy to draw them (e.g., PowerPoint, Keynote, Photoshop, etc.). You can also search online for free online applications that allow you to draw diagram. However, to make it easy for us to grade/see them use must produce them digital and not by hand.
Short Answer Questions¶
Each assignment may include a section dedicated to answering a few short answer questions. Please turn in a readable text file named saqs
(e.g., saqs.pdf
). Store this file inside the hw2/saqs
directory. You will place your answers to the following questions in this document. The file is not required to be a PDF but any text document that is easy to open is fine. You may place your solution in more than one file but make sure to label file clearly so we know what question your file is referring too.
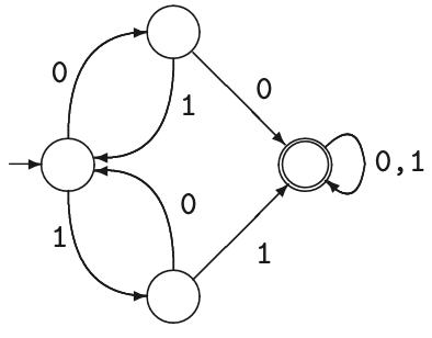
SAQ 1¶
Describe informally the languages accepted by the following FAS:
SAQ 2¶
Write a regular expression for each of the following languages:
Given an alphabet = {0, 1}, L is the set of all strings of alternating pairs of 0s and pairs of 1s.
Given an alphabet = {0, 1}, L is the set of all strings of 0s and 1s that contain an even number of 0s or an even number of 1s.
Given the lowercase English alphabet, L is the set of all strings in which the letters appear in ascending lexicographical order.
SAQ 3¶
Consider the regular expression (note the spaces are just for presentation purposes and not part of the expression):

Use Thompson’s construction to construct an NFA the regular expression.
Note
For practice, you should convert the NFA to a DFA using subset construction. You may need to do this for an exam but its not required for this assignment.
The Cal Language¶
For this assignment, we will build a direct-coded scanner for a simple toy language called Cal. The informal specification of the language is described below (a more formal specification will be provided in a future homework assignment):
The only values in the language are integers. Integers must begin with a digit from 1 to 9 and zero or more digits (0 to 9) can follow the first digit. All integers are positive.
The language contains variables (i.e., identifiers). Each identifier must begin with a letter from the English alphabet. The letter can be capitalized or lowercase. An identifier can contain zero or more integer digits (0 to 9), lowercase or uppercase English letters following the first letter.
The language contains arithmetic expressions that work on integer values. The operators for these expressions are
+
(addition),-
(subtraction),*
(multiplication), and/
(division). Expressions can contain a mixture of literal integers and variables as operands to the operators.The language contains three types of statements. Each statement ends with a semicolon (
;
). The following are the three types of statements:A variable declaration statement that has the structure:
let IDENTIFIER = EXPRESSION;
. The keywordlet
in all lowercase letters is required for a variable declaration.A assignment statement that has the structure:
IDENTIFIER = EXPRESSION;
.A print statement that has the structure:
print EXPRESSION;
. Notice thatprint
is a keyword and not a function call like in other languages.
Note
Some of this information is not required in order to implement the scanner but is given for clarity purposes.
Here are a few examples of Cal programs
Sample 1
print 3+4;
Sample 2
let a = 4;
a = 7;
print a;
Sample 3
let a = 4 + 12 * 123 - 34 / 6; print a;
let c = a + 4;
print c;
Programming Question: Simple Scanner¶
As mentioned in the previous section, you will implement a direct-coded scanner for the Cal language. As you may recall, here are the steps to implement the scanner:
Write down the RE for the input language
Build a big NFA
Build the DFA that simulates the NFA
Turn it into actual code
You don’t need to automate/code steps 1-3 or provide written work for those steps. You can simply create your DFAs by doing the conversions by hand and then using those DFAs to code the scanner.
To help you get started with the structure of scanner, we have provided some template code inside the hw2/scanner
and hw2/token
directories. Lets first look at the hw2/token/token.go
file
type TokenType string
const (
ILLEGAL = "ILLEGAL"
INT = "INT"
)
type Token struct {
Type TokenType
Literal string
}
This provides a struct
that allows you to create tokens once you identify that a substring is a token. You can update the const
declaration with additional token types based on the Cal language. The Literal
field is the substring that you identified for the token. Feel free to modify the code inside this file as you please.
The actual implementation of the scanner will be defined in the hw2/scanner/scanner.go
file. Inside this file, you have the following code
type Scanner struct {
// TODO: IMPLEMENT ME!
}
func New(input string) *Scanner {
//Feel free to change this implementation
scanner := &Scanner{}
return scanner
}
func (l *Scanner) NextToken() token.Token {
// TODO: Implement Me
return token.Token{token.INT, "0"}
}
You may update the Scanner
struct with additional fields to help you implement the scanner. The New
initializes and allocates a new scanner. You should think of the argument input
as the entire source code for a Cal program. You want to hold on to this input because you’ll use it in the NextToken()
function. However, You may modify this function as you please. The NextToken
function represents the token stream described in lecture. Each time the function is called it returns the next token identified from the input
source code. You can modify this code as you please.
Testing your implementation¶
For this assignment, there are no specific test-cases. We want you to be able to test your compiler components on your own since you’ll have to do this for the compiler project. However, we have provided some template code that will help you get started testing your code inside the hw2/scanner/scanner_test.go
. Running this file will produce errors, initially! You should only run this file once you have portions of your implementation working. For this assignment, you must add additional tests until you feel confident that your scanner works correctly. We will not say how many tests you will need to add. You can have one, two, more tests as long as it verifies that all your tokens are identified by the scanner.
The code is self-explanatory on what it is accomplishing. However, If you don’t understand something in this file then please write on Ed and we’ll be happy to clarify anything.
Grading¶
For this assignment, the weights will be:
SAQ 1 5%
SAQ 2 5%
SAQ 3 10%
Scanner:Test File 20%
Scanner:Correctness 50%
Scanner:Design & Style 10%
Design, Style and Cleaning up¶
Before you submit your final solution, you should, remove
any
Printf
statements that you added for debugging purposes andall in-line comments of the form: “YOUR CODE HERE” and “TODO …”
Think about your function decomposition. No code duplication. This homework assignment is relatively small so this shouldn’t be a major problem but could be in certain problems.
Go does not have a strict style guide. However, use your best judgment from prior programming experience about style. Did you use good variable names? Do you have any lines that are too long, etc.
As you clean up, you should periodically save your file and run your code through the tests to make sure that you have not broken it in the process.
Submission¶
Before submitting, make sure you’ve added, committed, and pushed all your code to GitHub. You must submit your final work through Gradescope (linked from our Canvas site) in the “Homework #2” assignment page via two ways,
Uploading from Github directly (recommended way): You can link your Github account to your Gradescope account and upload the correct repository based on the homework assignment. When you submit your homework, a pop window will appear. Click on “Github” and then “Connect to Github” to connect your Github account to Gradescope. Once you connect (you will only need to do this once), then you can select the repsotiory you wish to upload and the branch (which should always be “main” or “master”) for this course.
Uploading via a Zip file: You can also upload a zip file of the homework directory. Please make sure you upload the entire directory and keep the initial structure the same as the starter code; otherwise, you run the risk of not passing the automated tests.
Depending on the assignment, once you submit your work, an “autograder” will run. This autograder should produce the same test results as when you run the code yourself; if it doesn’t, please let us know so we can look into it. A few other notes:
You are allowed to make as many submissions as you want before the deadline.
Please make sure you have read and understood our Late Submission Policy.
Your completeness score is determined solely based on the automated tests, but we may adjust your score if you attempt to pass tests by rote (e.g., by writing code that hard-codes the expected output for each possible test input).
Gradescope will report the test score it obtains when running your code. If there is a discrepancy between the score you get when running our grader script, and the score reported by Gradescope, please let us know so we can take a look at it.